Kingston, Ontario–(Newsfile Corp. – September 12, 2023) – Delta Resources Limited (TSXV: DLTA) (OTC Pink: DTARF) (FSE: 6GO1) (“Delta” or “the Company”) is pleased to provide initial assay results from its second phase of drilling at the Delta-1 Gold project located 50 km west of Thunder Bay, Ontario.
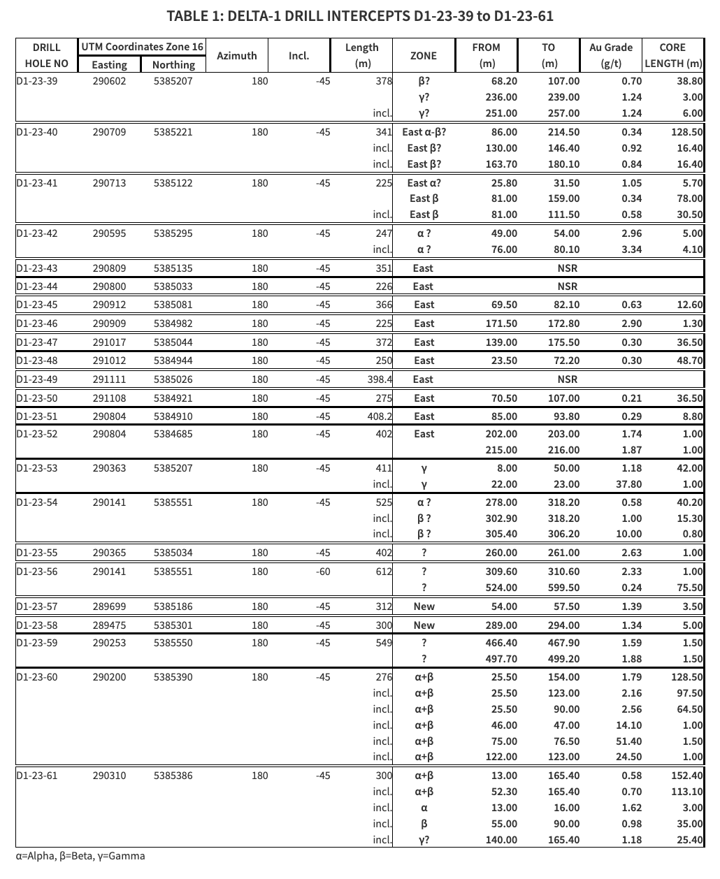
Results from twenty-three (23) drill holes have been received so far and the most significant results are shown in Table 1 below. Delta has completed forty-four (44) drill holes so far in this ongoing drilling program for a total of 14,955 metres. Delta is completing drill hole D1-23-82 and assay results remain pending for drill holes D1-23-62 to D1-23-82.
Including the early exploration holes drilled in late 2019, less than 25,000 metres of total drilling has been completed by Delta so far at the Delta-1 property.
Highlights:
- High-grade gold shoots are being defined from surface within the Alpha and Beta mineralized zones with drill hole D1-23-60 (1.79 g/t over 128.5 metres from 25.5 metres; inc. 2.16 g/t gold over 97.5 metres from 25.5 m to 123 m) (Figures 1 and 2),
- The Gamma zone, previously intersected at depth only, has now been extended to surface with drill hole D1-23-53 (1.18 g/t Au over 42 metres from 8 metres) (Figure 3),
- The Beta zone was extended to a vertical depth of approximately 220 metres, some 50 metres east of drill hole D1-23-25 with drill hole D1-23-54 (1.00 g/t Au over 15.0 metres) (Figures 1 and 2),
- A new, near-surface gold zone was discovered south-west of Eureka with drill holes D1-23-57 (1.39 g/t Au over 3.5 metres) and D1-23-58 (1.34 g/t Au over 5.0 metres) (Figure 4). The zone needs further testing.
- Widely spaced drill holes D1-23-40 to D1-23-52 successfully intersected the gold-bearing alteration corridor hosting the Eureka Gold Mineralization at shallow depths (often referred to as “Deep Blue”). The corridor was extended another 500 metres to the east with lower-grade intercepts (example: 0.92 g/t Au over 16.4 metres in D1-23-40, 0.58 g/t Au over 30.5 metres in D1-23-43 or 0.30 g/t Au over 48.7 metres) (Figure 4). Future drilling is planned to test and locate the high-grade gold shoots within this structure, as defined within the Eureka Zone.
André Tessier, President and CEO commented: “More exciting results from Delta-1. Drill hole D1-23-60 was testing an interpreted high-grade ore-shoot and did not disappoint. The mineralized area is expanding in every direction, grades are improving and our drilling has located the strongly altered corridor that hosts the gold mineralization for over five-hundred metres to the east. As we continue to gain more knowledge about the controls of the gold mineralization, we believe the team will have continued success at hitting the known zones and discovering new zones. Drilling so far has demonstrated the strength of the mineralizing system and we look forward to continue to prove the scale of this mineralized area.”
Gold mineralization at Eureka, occurs within a 300-metre to 400-metre-wide corridor of highly altered (ankerite-calcite-silicification and albitization) rocks exhibiting highly anomalous gold values of up to 0.5 g/t gold. Within the high-grade mineralized portions of this corridor, a stockwork of quartz-ankerite-pyrite-gold veinlets is observed. The density of veinlets is generally proportional to gold grade. Three parallel gold zones are generally observed, from north to south: the Alpha, Beta and Gamma zones. The Beta Zone is the most significant of the three zones to date but all three zones pinch and swell and locally merge with one another. The gold mineralized zones have so far been intersected for a strike of approximately 1.8 kilometres, with a high-grade portion extending for nearly 950 metres (dee figures 1 to 3). So far, the down-dip length of the mineralized zone is approximately 250 metres (220 metres vertical depth) and is open at depth. Mineralization strikes approximately 100 to 120 degrees azimuth, with a dip of 75-80 degrees north (shallower dips of 50N are observed in the western portion of the zone). High-grade, wide ore-shoots are observed and appear to be plunging approximately 40 degrees towards the west, within this structure. Similar ore-shoots are often observed in structurally controlled gold deposits and often occur with a certain periodicity.

Figure 1: Vertical longitudinal section of the Eureka Gold Zone looking north. The section shows the shells of gold grades from 0.25 g/t Au to 0.75 g/t Au. The high-grade gold mineralization appears to occur in ore shoots plunging ~40° west.

Figure 2: Vertical longitudinal section of the eastern portion of the Eureka Gold Zone looking north. The section shows the shells of gold grades from 0.5 g/t Au to >2.0 g/t Au.

Figure 3: Vertical cross-section of the Eureka Gold Zone looking east. The section shows the Alpha, Beta and Gamma Zones all dipping steeply to the north. Drill hole D1-23-53 extended the Gamma Zone to surface.

Figure 4: Map of the Eureka Gold Zone, showing the alteration corridor that is hosting the gold mineralization at Eureka. This alteration corridor was successfully extended for 500 metres east of drill hole D1-23-38, hosting typical, lower-grade gold mineralization. Additional drilling will be testing for the presence of high-grade gold shoots within this corridor.
The Delta-1 project is located in the Shebandowan Greenstone Belt and covers a 17 km strike extent of the Shebandowan Structural Zone.
Analytical Protocol and QA/QC
Chemical analyses reported in this press release were performed at AGAT Laboratories. AGAT Laboratories is accredited to ISO 17025 by the Standards Council of Canada (SCC). Sample preparation was performed in Thunder Bay, Ontario. Sampling and analytical procedures are subject to a comprehensive Quality Assurance and Quality Control program that includes duplicate samples, blanks and analytical standards.
The following assaying protocol was adopted at Delta-1 in an attempt to reduce the assay variability due to nugget effect caused by visible gold:
- If visible gold is observed in the sample or within the assumed mineralized zone, the assay is performed by Metallic Screening whereby the entire sample is crushed, a 1 kg portion is pulverized and screened to 106µm and analyzed by 50 g fire assay with gravimetric finish at the AGAT Laboratory in Thunder Bay, Ontario.
- If no visible gold is observed or outside of the mineralized zones, an initial assay is performed by 50 g Fire Assay with ICP-OES finish at the AGAT Laboratory in Thunder Bay, Ontario. If the assay result exceeds 2.0 g/t gold, remaining rejects are pulverized, a 1 kg portion is screened to 106µm and analyzed by 50 g fire assay with gravimetric finish at the AGAT Laboratory in Thunder Bay, Ontario.
NQ-size drill core was sawed in half lengthwise and half of the core was sampled and sealed in clean plastic bags before being shipped for assay. The remaining half of the core was replaced in core boxes and is stored at Delta’s core storage facilities. Standards and blanks are inserted in the sequence of samples on site as quality assurance and quality control in addition to the regular insertion of blank, duplicate, and standard samples accredited by SGS Canada Minerals Laboratories during the analytical process.
Qualified Persons
Daniel Boudreau, P.Geo. and Manager of Exploration at Delta Resources Limited, is the Qualified Persons as defined by NI-43-101. He has supervised the drilling program in the field and reviewed the technical information presented in this press release.
Ontario Junior Exploration Program
Delta Resources would like to acknowledge the financial support provided by the Ontario Government via the Ontario Junior Exploration Program (“OJEP”). Delta will be receiving up to $200,000 upon completion of its exploration program at Delta-1.
About Delta Resources Limited
Delta Resources Limited is a Canadian mineral exploration company focused on growing shareholder value through the exploration of two very high-potential gold and base-metal projects in Canada.
- DELTA-1 covers approximately 107 square kilometres located 50 kilometres west of Thunder Bay, Ontario where a gold mineralized zone 950 metres long was outlined through drilling in a multi-kilometre-scale intense alteration halo. Best grades to date include a drill intercept of 14.8 g/t Au over 11.9 metres, within a broader interval of 5.92 g/t Au over 31 m. The zone is open in all directions.
- DELTA-2 VMS and DELTA-2 GOLD covers 194 square kilometres in the prolific Chibougamau District of Quebec. The property holds excellent potential for gold-rich polymetallic VMS deposits as well as hydrothermal-gold deposits. Delta targets VMS deposits such as the LeMoine past producer where 0.76 Mt were mined between 1975 and 1983, grading 9.6% Zn, 4.2% Cu, 4.5 g/t Au and 84 g/t Ag.
ON BEHALF OF THE BOARD OF DELTA RESOURCES LIMITED.
Andre C. Tessier
President, CEO and Director
www.deltaresources.ca
We seek safe harbor. Neither TSX Venture Exchange nor its Regulation Services Provider (as that term is defined in the policies of the TSX Venture Exchange) accepts responsibility for the adequacy or accuracy of this release. The TSX Venture Exchange has not approved nor disapproved of the information contained herein.
For Further Information:
Contact Delta Resources Limited
Frank Candido, Chairman
Tel: 514-969-5530
fcandido@deltaresources.ca
or
Andre Tessier, President and CEO
Tel: 613-328-1581
atessier@deltaresources.ca
Cautionary Note Regarding Forward-Looking Information
Some statements contained in this news release are “forward looking information” within the meaning of Canadian securities laws. Generally, forward-looking information can be identified by the use of forward-looking terminology such as “plans”, “expects”, “is expected”, “budget”, “scheduled”, “estimates”, “forecasts”, “intends”, “anticipates”, “believes” or variations of such words and phrases (including negative or grammatical variations) or statements that certain actions, events or results “may”, “could”, “would”, “might” or “will be taken”, “occur” or “be achieved” or the negative connotation thereof. Investors are cautioned that forward-looking information is inherently uncertain and involves risks, assumptions and uncertainties that could cause actual facts to differ materially. There can be no assurance that future developments affecting the Company will be those anticipated by management. The forward-looking information contained in this press release constitutes management’s current estimates, as of the date of this press release, with respect to the matters covered thereby. We expect that these estimates will change as new information is received. While we may elect to update these estimates at any time, we do not undertake to update any estimate at any particular time or in response to any particular event.

